Home
DNA
A
C
G
T
Others
RNA
A
G
C
U
Others
Search
Contact us
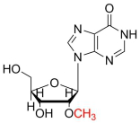
2'-O-methylinosine
Description
Inosine carrying a methyl substituent on the hydroxy group at position 2' on the ribose ring
Basic Information
Comman Name
2'-O-methylinosine
Symbol
Im
Chemical Formula
C
11
H
14
N
4
O
5
Nucleoside Mass
282.26
Locations and Contents
Modification
Organisms or Cells
Contents
References
Im
mouse liver
Im
yeast mRNA
0.001%-0.003% [Im/A]
https://pubs.acs.org/doi/10.1021/acs.analchem.1c05292
Modification Enzymes and Reactions