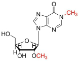
1,2'-O-dimethylinosine
Description
/
Basic Information
| Comman Name |
1,2'-O-dimethylinosine |
| Symbol |
m1Im |
| Chemical Formula |
C12H16N4O5 |
| Nucleoside Mass |
296.28 |
Locations and Contents
| Modification | Organisms or Cells | Contents | References |
| m1Im | mouse liver | | |
Modification Enzymes and Reactions