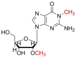
1,2'-O-dimethylguanosine
Description
/
Basic Information
| Comman Name |
1,2'-O-dimethylguanosine |
| Symbol |
m1Gm |
| Chemical Formula |
C12H17N5O5 |
| Nucleoside Mass |
311.3 |
Locations and Contents
| Modification | Organisms or Cells | Contents | References |
| m1Gm | mouse liver | | |
Modification Enzymes and Reactions