ss



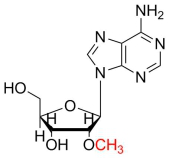
2'-O-methyladenosine




Description

   A member of the class of adenosines that is adenosine in which the hydroxy group at position 2? is replaced by a methoxy group.

Basic Information

Comman Name 2'-O-methyladenosine
Symbol Am
Chemical Formula C11H15N5O4
Nucleoside Mass 281.27

Locations and Contents

ModificationOrganisms or CellsContentsReferences
Ammouse liver0.12±0.09% [Am/G] https://pubmed.ncbi.nlm.nih.gov/24261999/
Ammouse liver0.39±0.12% [Am/G] https://pubmed.ncbi.nlm.nih.gov/24261999/
Ammouse liver0.33±0.06% [Am/G] https://pubmed.ncbi.nlm.nih.gov/24261999/
Ammouse liver0.12±0.06% [Am/G] https://pubmed.ncbi.nlm.nih.gov/24261999/
Ammouse liver0.0001±0.0000% [Am/G] https://pubmed.ncbi.nlm.nih.gov/24261999/
Ammouse liver0.004±0.001% [Am/G] https://pubmed.ncbi.nlm.nih.gov/24261999/
Ammouse liver0.83±0.18% [Am/G] https://pubmed.ncbi.nlm.nih.gov/24261999/
AmA. th. cell culture34.7 [Am/1000 tRNA molecules]https://pubmed.ncbi.nlm.nih.gov/23417961/
AmA. th. plants29.2 [Am/1000 tRNA molecules]https://pubmed.ncbi.nlm.nih.gov/23417961/

Modification Enzymes and Reactions

Modification Enzymes:Nop1 (Saccharomyces cerevisiae)
Reference:https://pubmed.ncbi.nlm.nih.gov/1825809/

Modification Enzymes:Nop1 (Saccharomyces cerevisiae)
Reference:https://pubmed.ncbi.nlm.nih.gov/2298745/

Modification Enzymes:Nsr (Streptomyces actuosus)
Reference:https://pubmed.ncbi.nlm.nih.gov/20445264/

Modification Enzymes:Trm13 (Saccharomyces cerevisiae)
Reference:https://pubmed.ncbi.nlm.nih.gov/17242307/

Modification Enzymes:Tsr (Streptomyces cyaneus)
Reference:https://pubmed.ncbi.nlm.nih.gov/19369248/

Modification Enzymes:Tsr (Streptomyces cyaneus)
Reference:https://pubmed.ncbi.nlm.nih.gov/25086036/