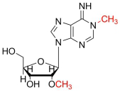
1,2'-O-dimethyladenosine
Description
/
Basic Information
| Comman Name |
1,2'-O-dimethyladenosine |
| Symbol |
m1Am |
| Chemical Formula |
C12H17N5O4 |
| Nucleoside Mass |
295.3 |
Locations and Contents
| Modification | Organisms or Cells | Contents | References |
| m1Am | 3T3-L1 | | |
Modification Enzymes and Reactions
Modification Enzymes:unknown enzyme
Modification Enzymes:unknown enzyme